微區掃描電化學顯微鏡SECM150研究多孔膜上鐵氰化物的擴散
1、簡介
微區掃描電化學顯微鏡(SECM)可以獲得的信息是樣品的局部特性,而非整體特性的平均值。這對于薄膜以及其他發生物質擴散的滲透系統的研究非常有用。在這些體系中,SECM不僅提供X、Y方向的空間分辨率,也可以研究Z方向。可以研究某種物質穿過氣孔、到達電解質中的整個擴散過程。
目前,SECM在氣體擴散電極方面的研究比較有限[1]。然而隨著燃料電池和金屬電池的研究,未來很可能會有越來越多此方面的研究。簡單的多孔薄膜的測試為研究更復雜的擴散體系提供了概念和試驗要求的背景理解。而且這些試驗也證實了SECM在擴散測試方面的應用。
本文采用SECM150測試了[Fe(CN)6]3-氧化還原介質透過多孔膜的擴散。
2.方法
采用SECM150測試了[Fe(CN)6]3-氧化還原介質透過多孔膜的12μm氣孔的擴散。多孔膜選用8μm厚的Whatman Cyclopore聚碳酸酯軌跡蝕刻薄膜。薄膜安裝在自制的擴散池中。如圖1所示,電解池的下半部分為施主電解液0.1mol L-1 K3[Fe(CN6)]和0.1mol L-1 KCl溶液,電解池上半部分為受主電解液0.1mol L-1 KCl溶液。這有利于探針尖端的收集測試。擴散池空間有限,所以分別選擇Pt絲類參比電極和對電極(QRE和CE)。探針選擇10μm的Pt毛細管超微電極(UME)。
圖1 擴散池示意圖
測試前,先進行UME的循環伏安測試(CV),掃描速率為0.1V s-1。CV測試結果如圖2所示。根據CV測試結果可以判斷在沒有試驗的情況下,[Fe(CN)6]3-是否能穿過薄膜自由擴散,以及后續實驗中預期電流的相對大小。在這些測量過程中,沒有采取任何措施去除溶解氧,因此,在曲線的基線上可以看到氧的影響。然而,與10分鐘之前運行的CV相比,可以看出,隨著更多的[Fe(CN)6]3-通過膜擴散,這種效應減弱。兩個CV都遠離孔開口處,因此不能反映在UME尖端測得的最大電流,it。當使用[Fe(CN)6]4-代替時,會使感興趣的反應完全移出氧氣還原的電位區域,這種物質被認為會導致更明顯和更快的電極污染,因此繼續使用[Fe(CN)6]3-。
圖2 [Fe(CN)6]3-擴散到受體溶液后的CV。藍色線是黃色線之后10min測試的。
為了確定面掃描的Z位置,在探針上施加-0.65V的偏置,進行逼近曲線,如圖3所示。曲線末端的扭結(在-42μm處)表示探針已經接觸到膜,因此選用圖中金色點標記的位置作為Z位置。采用大面積低分辨率掃描,快速評估膜表面,確定最佳聚焦孔。理想情況下,孔隙應與其他孔隙分開,并與周圍區域形成高對比度。在此基礎上,選擇以(130μm,144μm)為中心的孔。對孔中心進行一條逼近曲線,并調整Z位置,以解釋該位置的任何高度變化。新的Z值是之后所有測量的Z=0μm點。

圖3 在感興趣的孔隙位置的逼近曲線。
一旦選定合適的孔,在不同高度對其進行面掃描。所有面掃描均在50x50μm2的面積上進行,X和Y的步長為1μm,運行時間約為11.5分鐘。使用SECM150定序選項(在New Experiment菜單中提供)進行掃描。在進行每個面掃描后,探針在Z中自動向上移動相對于其最后位置1μm。這是作為一個自動回路形成的,共有11個操作,如圖4所示。

圖4 SECM150定序選項實現實驗程序自動化
在第一次(z=0μm)測量中,使用在感興趣孔的最中心Y位置測得的X截面,分析將探針移離膜表面的影響。然后在后續測量中,在相同的Y位置測量X截面。測量結果如圖5所示。使用Gwyddion處理所有面掃描圖。
圖5 不同Z位置的測試結果。Z/μm=0(a), 1(b), 2(c), 3(d), 4(e), 5(f), 6(g), 7(h), 8(i), 9(j), 10(k)
3.結果
最初,使用SECM150快速測量膜上的大面積,以確定候選孔的位置。為了幫助可視化這些孔隙,將得到的41x41步測量值內插到101x101步測量值中,提高了原始圖像的分辨率,兩張圖如圖6所示。根據插值圖像,聚焦于(130μm,144μm)處的孔,在插值圖上用黑色虛線圈標記。由于測量了50x50μm2的面積,以確保可以看到所有的變化,這也允許在(115μm,158μm)處評估孔隙。如圖5所示,在從z=0μm到z=10μm的11次連續掃描中測量了相同的面積。這些圖像顯示,隨著探針與樣品的距離增加,每個孔的邊緣變得不那么明顯。此外,最大電流隨探針與樣品的距離的增加而減小。這兩個特征都是[Fe(CN)6]3-從孔中擴散的結果。[Fe(CN)6]3-從孔中擴散,直接在孔開口處產生最高濃度。物質的擴散從孔中呈放射狀向外擴散,與圖7所示的濃度等值線垂直。當探針進一步遠離孔表面時,[Fe(CN)6]3-的濃度降低,導致測得的電流降低。最后,隨著探針與樣品的距離的增加,濃度等值線開始重疊,導致在區域掃描中看到的不同邊緣丟失。
圖6 上圖為41 x 41步測量圖,下圖為101 x 101步內插后的圖
圖7 氧化還原介質濃度變化示意圖
通過觀察兩個孔的X橫截面,可以進一步分析探針與樣品的距離增加對膜測量的影響,如圖8所示。在這兩種情況下,增加探針與樣品的距離會導致在孔上測量的電流減小,并增加在孔上測量的峰值半高寬。圖7顯示,當探針在接近孔的位置移動較小的距離時,比在遠離孔的位置移動同樣的距離,產生的濃度變化更大。此外,探針與樣品的分離越小,最大濃度越大。這導致在小的探針樣品距離處出現高而尖的電流峰值,在大的探針樣品距離處出現短而寬的電流峰值。
圖8 (130μm,144μm)處(上)和(115μm,158μm)處(下)的X橫截面圖
根據面掃描和由此產生的橫截面,很明顯,為了最好地解決通過孔隙的擴散問題,探針與樣品的距離應盡可能小。這使得探針不僅可以測量孔中心的最高濃度,還可以測量從中心向X和/或Y方向移動給定距離時的最大濃度變化,從而得到孔與膜其余部分之間具有最鮮明對比度的圖像。
4.定量分析
可以通過本文的SECM測量來分析通過孔的擴散,可以確定孔隙表面[Fe(CN)6]3-的濃度、收集效率、從孔隙開口的傳輸速率以及在孔隙中的傳輸速率。
4.1 濃度
通過探針在孔開口處測得的最大電流,可以確定孔開口處[Fe(CN)6]3-的濃度。這是通過以下方程得出的,該方程假設在面掃描測量過程中測量了極限電流,系統處于穩定狀態,溫度恒定[2]:
其中:C是濃度,mol cm-3;it是探針測得的電流,A;n是轉移的電子數;F是法拉第常數;D是擴散系數([Fe(CN)6]3-是7.2×10-6cm2s-1[3]);rt是探針半徑,cm。根據公式(1),孔隙開口處[Fe(CN)6]3-的濃度為9.8×10-3mol L-1。
4.2 收集效率
為了更好地研究在孔隙開口處測得的[Fe(CN)6]3-的濃度,了解測量過程中的收集效率是很有用的。為了找到這一點,我們發現了基于供體和受體間的擴散的理論最大電流id,與it對比,id的計算公式如下[4-6]:
其中:rp是孔隙半徑;Cd是施主溶液中的[Fe(CN)6]3-濃度,mol cm-3;Cr是受主溶液中的[Fe(CN)6]3-濃度,mol cm-3;l是孔隙的長度(膜的厚度)。用此公式獲得最大電流為-45nA。這意味著收集效率低于50%。這一差異是可以預料的,并且很可能會產生,因為進行了許多假設,包括整個孔是完全圓柱形的,膜厚度沒有不確定性,所有從孔中冒出的[Fe(CN)6]3-都由探針收集,由于尖端尺寸這是不太可能的,探針樣品距離正好是0[4]。
4.3 傳輸
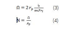
利用孔上方探針測得的峰值電流,還可以確定孔開口處的傳輸速率Ω,進而確定通過孔的傳輸速率N。這些通過以下方程確定,假設穩態和恒定溫度[2]:

其中:Ap是孔的橫截面積。在使用這些方程時,假設rt《rp,因此探針不會影響[Fe(CN)6]3-通過孔的擴散。盡管本文中,rt和rp的尺寸相似,但通常使用式(3)近似孔開口處的傳輸速率[7]。在使用式(3)和(4)時,同樣假設孔是圓盤狀的,并且膜只能在孔處滲透[Fe(CN)6]3-[2]。使用式(3)和(4),[Fe(CN)6]3-的傳輸速率Ω,在孔開口處為1.7x10-13 mol s-1,穿過孔隙的傳輸速率為1.5x10-7 mol s-1 cm-2。分析的兩個孔的這些值相同。
Scott等人[6]之前研究過同一物質通過云母中的一個7μm孔的擴散,發現其擴散速度快了一個數量級。然而,在這兩個實驗中,有大量的實驗差異,這可能導致所看到的幅度差異。最值得注意的是,Scott和他的同事們在他們的工作中只在云母上留下了一個小孔,使擴散行為達到理想狀態。然而,本文的商用膜有1x105個孔/cm2,這些孔之間呈半球形分布。這意味著氣孔可以相對緊密地結合在一起,導致不理想的行為。當使用這些傳輸方程時,假設孔隙分布得很遠,因此當孔隙之間的距離大于探針的尺寸時,這些方程最準確[2]。當情況并非如此時,近似值變得不那么準確。然而,在這些情況下,它可用于比較同一膜中的單個孔以及單個變量(如電解質濃度)變化對整個系統的影響。此外,如果使用多種類電解質,可根據SECM測量值進行這些近似值的計算,以比較膜上不同物質的擴散[5]。
2.結論
本文采用SECM150測量[Fe(CN)6]3-通過孔的擴散。利用SECM150的快速掃描,可以快速篩選更大面積的膜,以確定最佳聚焦區域。利用SECM150軟件中的定序選項,可以在感興趣的孔上自動測量11次連續面掃描,以研究增加探針與膜距離的影響。
參考文獻
[1] P. Schwager, D. Fenske, G. Wittstock, J. Electroanal. Chem. 740 (2015) 82-87.
[2] H. S. White, F. Kanoufi, in: A. J. Bard, M. V. Mirkin (Ed.), Scanning Electrochemical Micros-copy: Second Edition, CRC Press, Boca Raton (2012) 233.
[3] S. J. Konopka, B. McDuffie, Anal. Chem. 42 (1970) 1741-1746.
[4] C. E. Gardner, P. R. Unwin, J. V. Macpher-son, Electrochem. Comm. 7 (2005) 612-618.
[5] E. R. Scott, H. S. White, J. B. Phipps, J. Membr. Sci. 58 (1991) 71-87.
[6] E. R. Scott, H. S. White, J. B. Phipps, Anal. Chem. 65 (1993) 1537-1645.
[7] B. D. Bath, R. D. Lee, H. S. White, E. R. Scott, Anal. Chem. 70 (1998) 1047-1058.